近日,九色视频
郭金丽教授团队以九色视频
为第一单位,在《Plant Physiology and Biochemistry》(中科院二区TOP期刊)上发表2项题为Relationship between photosystem activity and ultraweak luminescence excitation in Cerasus humilis leaves under low light stress和题为The relationship between mitochondrial respiration metabolism, energy efficiency and ultraweak luminescence in strawberry fruit的研究成果。2篇论文分别以九色视频
博士研究生李静汝和博士研究生张莉为第一作者,郭金丽教授为通讯作者。
题为 “Relationship between photosystem activity and ultraweak luminescence excitation in Cerasus humilis leaves under low light stress” 的研究聚焦光胁迫对UWL与PS功能关系的探索,以欧李为试验材料,通过梯度遮光处理,阐明了欧李叶片PS活性与UWL的胁迫响应机制:重度弱光胁迫导致PSII反应中心崩溃(Fv/Fm↓、PIABS↓),类囊体膜解离阻碍电子传递(QA→QB受阻),同时PSI过度氧化破坏末端电子还原能力(REo/RC↓);轻度弱光胁迫仅降低PSI电子通量(REo/CSm↓),PSII结构保持完整。UWL关联性表明,UWL强度在重度弱光胁迫下暴跌,且与PSII活性参数呈极显著正相关,证实UWL衰减直接反映PS光化学损伤;轻度弱光胁迫则通过调节PSI电子流间接影响UWL。该研究阐明了PSII光化学效率下降及PSI电子传递阻塞是UWL受到抑制的关键诱因。此项研究确立了UWL作为无损监测光合功能障碍的生物标记物,其强度变化可量化评估胁迫损伤程度,为抗逆机制及抗逆育种提供新思路。


图 弱光胁迫下欧李叶片820nm反射光曲线
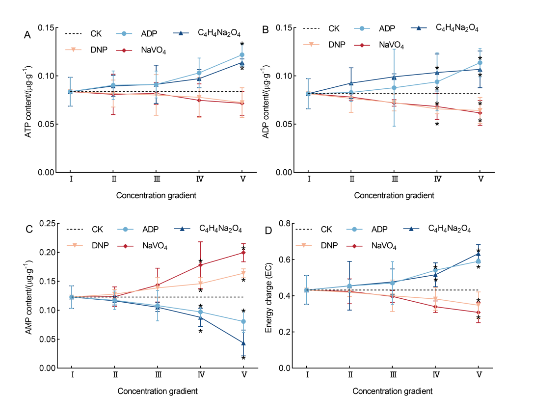
题为“The relationship between mitochondrial respiration metabolism, energy efficiency and ultraweak luminescence in strawberry fruit”的研究以草莓果实为材料,通过使用电子传递和氧化磷酸化耦合的激活剂与抑制剂处理,系统调控线粒体呼吸代谢过程。研究发现,激活剂处理显著提高了线粒体呼吸酶活性、呼吸速率、细胞色素途径贡献率以及ATP、ADP含量和能荷水平,同时UWL强度显著增强;抑制剂处理则导致上述指标均显著下降,UWL强度减弱。相关性分析和主成分分析进一步表明,UWL强度与线粒体能量代谢参数(ATP、ADP、能荷)关联最为紧密,其次是呼吸速率和呼吸酶活性。该研究证明了线粒体是植物UWL产生的重要细胞器,其呼吸代谢强度和能量合成效率是决定UWL强度的核心因素。


图 不同处理下草莓果实线粒体能量水平的变化
这两项研究分别从光系统功能和线粒体能量代谢两个角度揭示了UWL的本质:它是植物细胞能量代谢状态的灵敏“指示器”,为该现象在植物生理监测与抗逆评价中的应用提供了理论依据。上述研究成果由国家自然科学基金(No. 31260455;No. 31960571)资助完成。